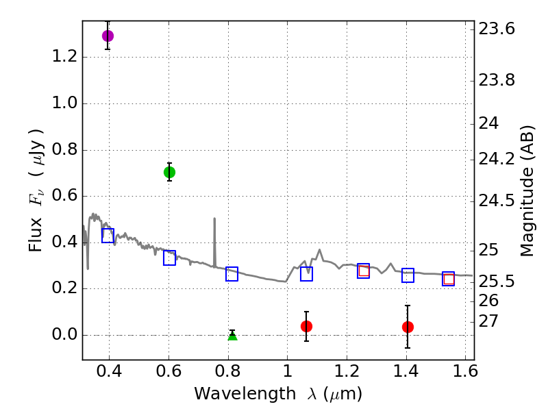
RXS0603+42-N IR detection object #5030

Color images and BPZ results
Catalog: 5030.cat
Black segments are analyzed here.   Roll mouse over color images to view segments.
Best viewed in a wide browser window (1200 pixels or more).   Download SED & P(z) plots to view larger versions.
In P(z) plots: Yellow lines mark the cluster redshift z = 0.228,  

Object #5030   x,y = (4034, 1813)   RA, Dec = (06:03:05.856, 42:15:06.48) = (90.77440, 42.25180)   BPZ = 1.700 [0.015--1.892]   type = 11.00 (SB11_A_0_l)   stellarity = 0.00   chisq2 = 148.10   ODDS = 0.74   z_cluster = 0.228