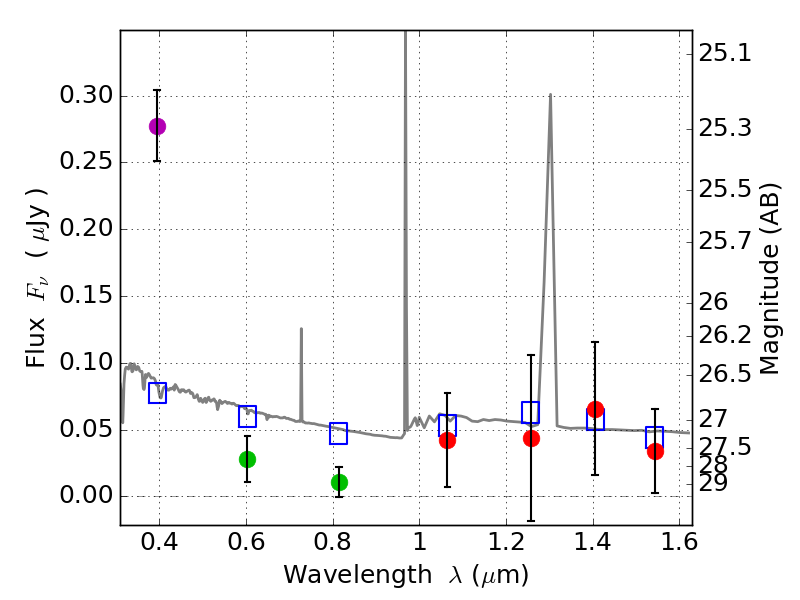
RXS0603+42-N IR detection object #4765

Color images and BPZ results
Catalog: 4765.cat
Black segments are analyzed here.   Roll mouse over color images to view segments.
Best viewed in a wide browser window (1200 pixels or more).   Download SED & P(z) plots to view larger versions.
In P(z) plots: Yellow lines mark the cluster redshift z = 0.228,  

Object #4765   x,y = (4015, 1891)   RA, Dec = (06:03:05.952, 42:15:11.16) = (90.77480, 42.25310)   BPZ = 1.598 [1.242--2.142]   type = 11.00 (SB11_A_0_l)   stellarity = 0.06   chisq2 = 16.61   ODDS = 0.38   z_cluster = 0.228