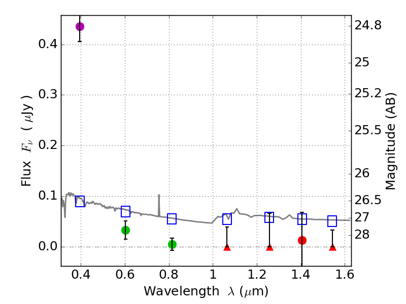
RXS0603+42-N IR detection object #4717

Color images and BPZ results
Catalog: 4717.cat
Black segments are analyzed here.   Roll mouse over color images to view segments.
Best viewed in a wide browser window (1200 pixels or more).   Download SED & P(z) plots to view larger versions.
In P(z) plots: Yellow lines mark the cluster redshift z = 0.228,  

Object #4717   x,y = (3998, 1865)   RA, Dec = (06:03:06.048, 42:15:09.72) = (90.77520, 42.25270)   BPZ = 1.699 [1.405--2.057]   type = 11.00 (SB11_A_0_l)   stellarity = 0.07   chisq2 = 37.82   ODDS = 0.59   z_cluster = 0.228