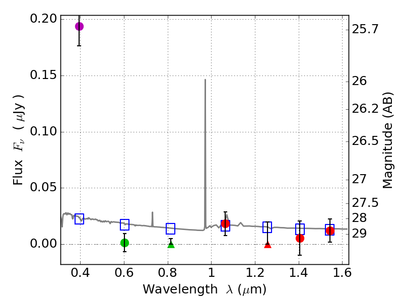
RXS0603+42-N IR detection object #4539

Color images and BPZ results
Catalog: 4539.cat
Black segments are analyzed here.   Roll mouse over color images to view segments.
Best viewed in a wide browser window (1200 pixels or more).   Download SED & P(z) plots to view larger versions.
In P(z) plots: Yellow lines mark the cluster redshift z = 0.228,  

Object #4539   x,y = (3261, 1969)   RA, Dec = (06:03:10.032, 42:15:15.84) = (90.79180, 42.25440)   BPZ = 1.612 [0.813--2.461]   type = 11.00 (SB11_A_0_l)   stellarity = 0.51   chisq2 = 26.25   ODDS = 0.26   z_cluster = 0.228