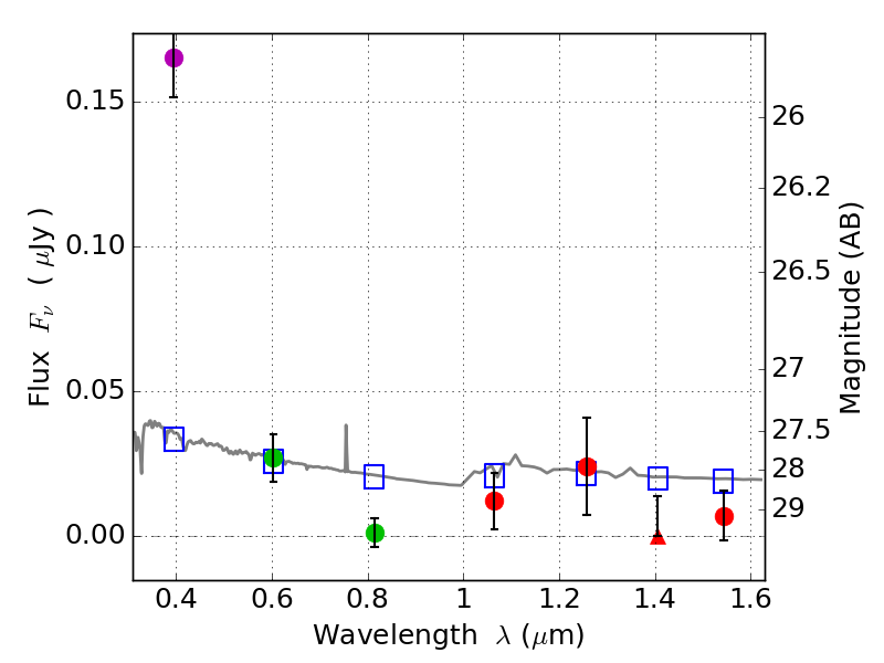
RXS0603+42-N IR detection object #4436

Color images and BPZ results
Catalog: 4436.cat
Black segments are analyzed here.   Roll mouse over color images to view segments.
Best viewed in a wide browser window (1200 pixels or more).   Download SED & P(z) plots to view larger versions.
In P(z) plots: Yellow lines mark the cluster redshift z = 0.228,  

Object #4436   x,y = (2116, 2001)   RA, Dec = (06:03:16.224, 42:15:17.64) = (90.81760, 42.25490)   BPZ = 1.701 [1.389--2.175]   type = 11.00 (SB11_A_0_l)   stellarity = 0.50   chisq2 = 25.80   ODDS = 0.54   z_cluster = 0.228