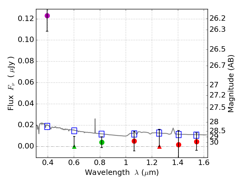
RXS0603+42-N IR detection object #4388

Color images and BPZ results
Catalog: 4388.cat
Black segments are analyzed here.   Roll mouse over color images to view segments.
Best viewed in a wide browser window (1200 pixels or more).   Download SED & P(z) plots to view larger versions.
In P(z) plots: Yellow lines mark the cluster redshift z = 0.228,  

Object #4388   x,y = (2774, 2018)   RA, Dec = (06:03:12.672, 42:15:18.72) = (90.80280, 42.25520)   BPZ = 1.733 [0.485--3.169]   type = 11.00 (SB11_A_0_l)   stellarity = 0.39   chisq2 = 13.93   ODDS = 0.21   z_cluster = 0.228