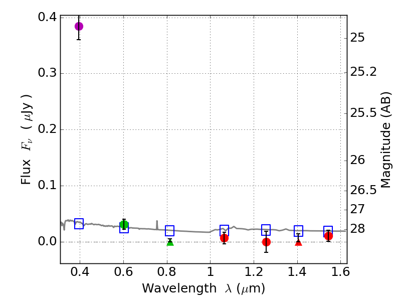
RXS0603+42-N IR detection object #4115

Color images and BPZ results
Catalog: 4115.cat
Black segments are analyzed here.   Roll mouse over color images to view segments.
Best viewed in a wide browser window (1200 pixels or more).   Download SED & P(z) plots to view larger versions.
In P(z) plots: Yellow lines mark the cluster redshift z = 0.228,  

Object #4115   x,y = (2931, 2105)   RA, Dec = (06:03:11.832, 42:15:24.12) = (90.79930, 42.25670)   BPZ = 1.701 [1.320--2.290]   type = 11.00 (SB11_A_0_l)   stellarity = 0.64   chisq2 = 54.46   ODDS = 0.42   z_cluster = 0.228