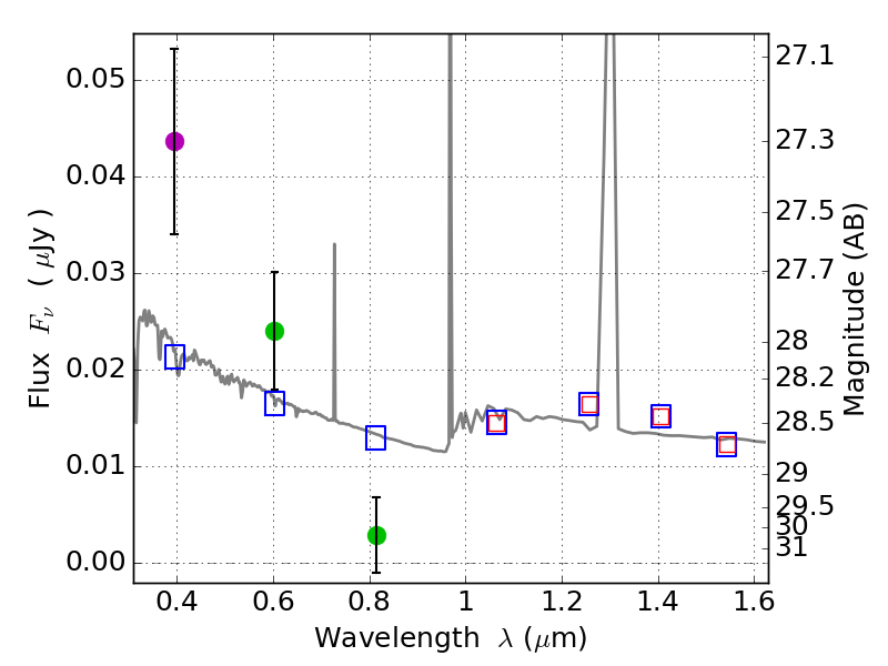
RXS0603+42-N IR detection object #4046

Color images and BPZ results
Catalog: 4046.cat
Black segments are analyzed here.   Roll mouse over color images to view segments.
Best viewed in a wide browser window (1200 pixels or more).   Download SED & P(z) plots to view larger versions.
In P(z) plots: Yellow lines mark the cluster redshift z = 0.228,  

Object #4046   x,y = (4206, 2129)   RA, Dec = (06:03:04.920, 42:15:25.56) = (90.77050, 42.25710)   BPZ = 1.596 [1.005--2.623]   type = 11.00 (SB11_A_0_l)   stellarity = 0.36   chisq2 = 12.67   ODDS = 0.22   z_cluster = 0.228