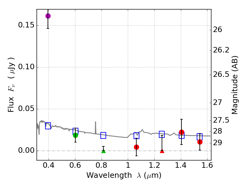
RXS0603+42-N IR detection object #4012

Color images and BPZ results
Catalog: 4012.cat
Black segments are analyzed here.   Roll mouse over color images to view segments.
Best viewed in a wide browser window (1200 pixels or more).   Download SED & P(z) plots to view larger versions.
In P(z) plots: Yellow lines mark the cluster redshift z = 0.228,  

Object #4012   x,y = (2017, 2145)   RA, Dec = (06:03:16.752, 42:15:26.28) = (90.81980, 42.25730)   BPZ = 1.698 [1.223--2.285]   type = 11.00 (SB11_A_0_l)   stellarity = 0.51   chisq2 = 22.16   ODDS = 0.40   z_cluster = 0.228