RXS0603+42-N IR detection object #3969

Color images and BPZ results
Catalog: 3969.cat
Black segments are analyzed here.   Roll mouse over color images to view segments.
Best viewed in a wide browser window (1200 pixels or more).   Download SED & P(z) plots to view larger versions.
In P(z) plots: Yellow lines mark the cluster redshift z = 0.228,  

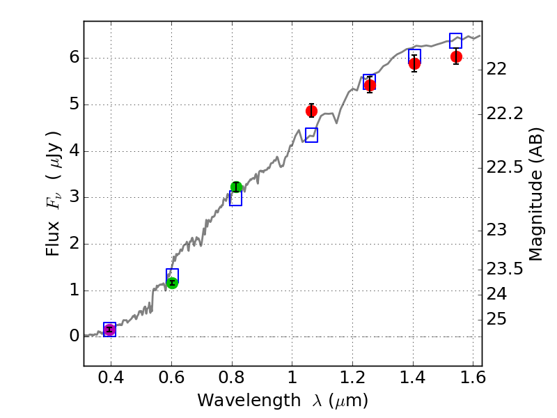
Object #3969   x,y = (2605, 2146)   RA, Dec = (06:03:13.584, 42:15:26.64) = (90.80660, 42.25740)   BPZ = 0.352 [0.261--0.405]   type = 3.70 (Ell4_A_0 - Ell5_A_0)   stellarity = 0.86   chisq2 = 0.62   ODDS = 0.82   z_cluster = 0.228