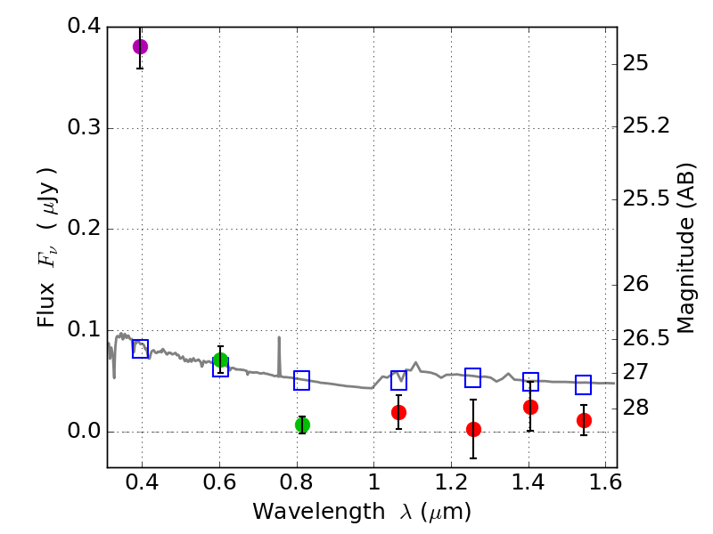
RXS0603+42-N IR detection object #3943

Color images and BPZ results
Catalog: 3943.cat
Black segments are analyzed here.   Roll mouse over color images to view segments.
Best viewed in a wide browser window (1200 pixels or more).   Download SED & P(z) plots to view larger versions.
In P(z) plots: Yellow lines mark the cluster redshift z = 0.228,  

Object #3943   x,y = (1892, 2169)   RA, Dec = (06:03:17.424, 42:15:27.72) = (90.82260, 42.25770)   BPZ = 1.700 [1.569--2.010]   type = 11.00 (SB11_A_0_l)   stellarity = 0.71   chisq2 = 49.02   ODDS = 0.67   z_cluster = 0.228