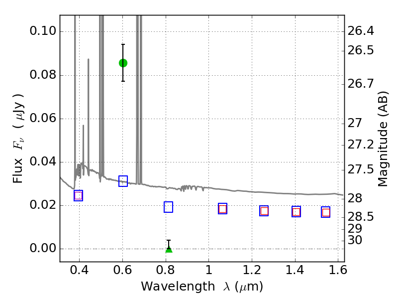
RXS0603+42-N IR detection object #3880

Color images and BPZ results
Catalog: 3880.cat
Black segments are analyzed here.   Roll mouse over color images to view segments.
Best viewed in a wide browser window (1200 pixels or more).   Download SED & P(z) plots to view larger versions.
In P(z) plots: Yellow lines mark the cluster redshift z = 0.228,  

Object #3880   x,y = (1393, 2183)   RA, Dec = (06:03:20.136, 42:15:28.80) = (90.83390, 42.25800)   BPZ = 0.025 [0.014--3.003]   type = 11.00 (SB11_A_0_l)   stellarity = 0.73   chisq2 = 56.84   ODDS = 0.24   z_cluster = 0.228