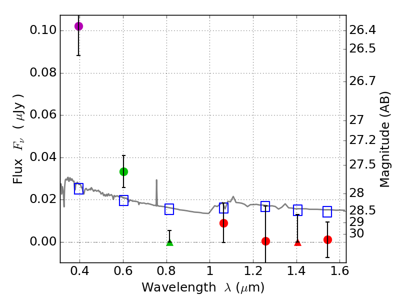
RXS0603+42-N IR detection object #3877

Color images and BPZ results
Catalog: 3877.cat
Black segments are analyzed here.   Roll mouse over color images to view segments.
Best viewed in a wide browser window (1200 pixels or more).   Download SED & P(z) plots to view larger versions.
In P(z) plots: Yellow lines mark the cluster redshift z = 0.228,  

Object #3877   x,y = (2562, 2191)   RA, Dec = (06:03:13.824, 42:15:29.16) = (90.80760, 42.25810)   BPZ = 1.702 [0.760--2.528]   type = 11.00 (SB11_A_0_l)   stellarity = 0.49   chisq2 = 11.46   ODDS = 0.36   z_cluster = 0.228