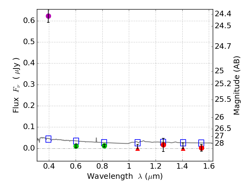
RXS0603+42-N IR detection object #3693

Color images and BPZ results
Catalog: 3693.cat
Black segments are analyzed here.   Roll mouse over color images to view segments.
Best viewed in a wide browser window (1200 pixels or more).   Download SED & P(z) plots to view larger versions.
In P(z) plots: Yellow lines mark the cluster redshift z = 0.228,  

Object #3693   x,y = (1579, 2263)   RA, Dec = (06:03:19.128, 42:15:33.48) = (90.82970, 42.25930)   BPZ = 1.699 [1.246--2.156]   type = 11.00 (SB11_A_0_l)   stellarity = 0.81   chisq2 = 91.52   ODDS = 0.51   z_cluster = 0.228