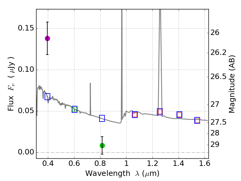
RXS0603+42-N IR detection object #3683

Color images and BPZ results
Catalog: 3683.cat
Black segments are analyzed here.   Roll mouse over color images to view segments.
Best viewed in a wide browser window (1200 pixels or more).   Download SED & P(z) plots to view larger versions.
In P(z) plots: Yellow lines mark the cluster redshift z = 0.228,  

Object #3683   x,y = (4648, 2266)   RA, Dec = (06:03:02.544, 42:15:33.48) = (90.76060, 42.25930)   BPZ = 1.595 [1.156--2.264]   type = 11.00 (SB11_A_0_l)   stellarity = 0.71   chisq2 = 20.21   ODDS = 0.30   z_cluster = 0.228