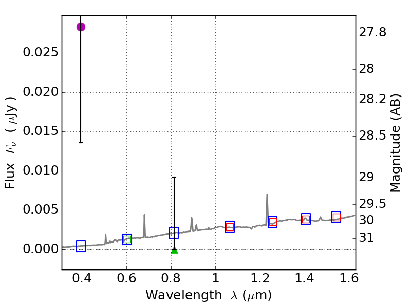
RXS0603+42-N IR detection object #3606

Color images and BPZ results
Catalog: 3606.cat
Black segments are analyzed here.   Roll mouse over color images to view segments.
Best viewed in a wide browser window (1200 pixels or more).   Download SED & P(z) plots to view larger versions.
In P(z) plots: Yellow lines mark the cluster redshift z = 0.228,  

Object #3606   x,y = (4517, 2301)   RA, Dec = (06:03:03.240, 42:15:35.64) = (90.76350, 42.25990)   BPZ = 0.363 [0.044--0.863]   type = 7.00 (Scd_B10)   stellarity = 0.65   chisq2 = 3.62   ODDS = 0.19   z_cluster = 0.228