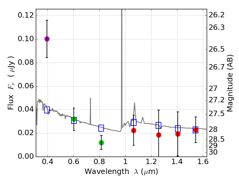
RXS0603+42-N IR detection object #3559

Color images and BPZ results
Catalog: 3559.cat
Black segments are analyzed here.   Roll mouse over color images to view segments.
Best viewed in a wide browser window (1200 pixels or more).   Download SED & P(z) plots to view larger versions.
In P(z) plots: Yellow lines mark the cluster redshift z = 0.228,  

Object #3559   x,y = (3488, 2315)   RA, Dec = (06:03:08.808, 42:15:36.72) = (90.78670, 42.26020)   BPZ = 1.612 [1.098--2.413]   type = 11.00 (SB11_A_0_l)   stellarity = 0.36   chisq2 = 4.53   ODDS = 0.28   z_cluster = 0.228