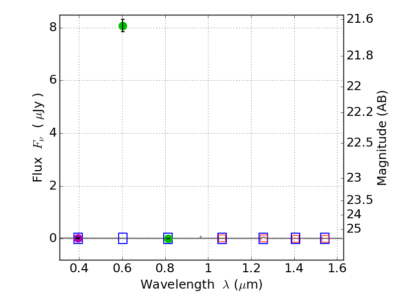
RXS0603+42-N IR detection object #348

Color images and BPZ results
Catalog: 348.cat
Black segments are analyzed here.   Roll mouse over color images to view segments.
Best viewed in a wide browser window (1200 pixels or more).   Download SED & P(z) plots to view larger versions.
In P(z) plots: Yellow lines mark the cluster redshift z = 0.228,  

Object #348   x,y = (2718, 3644)   RA, Dec = (06:03:12.984, 42:16:56.28) = (90.80410, 42.28230)   BPZ = 1.593 [0.303--6.080]   type = 11.00 (SB11_A_0_l)   stellarity = 1.00   chisq2 = 1146.00   ODDS = 0.09   z_cluster = 0.228