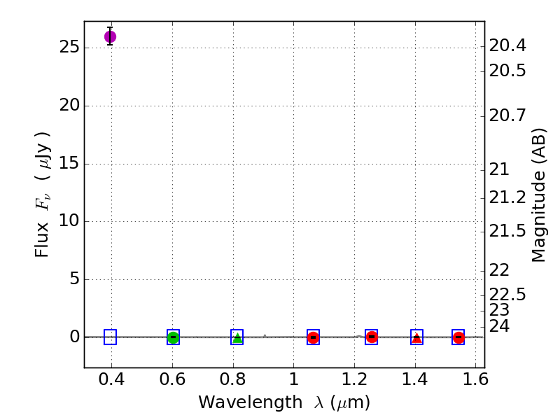
RXS0603+42-N IR detection object #3376

Color images and BPZ results
Catalog: 3376.cat
Black segments are analyzed here.   Roll mouse over color images to view segments.
Best viewed in a wide browser window (1200 pixels or more).   Download SED & P(z) plots to view larger versions.
In P(z) plots: Yellow lines mark the cluster redshift z = 0.228,  

Object #3376   x,y = (1590, 2373)   RA, Dec = (06:03:19.056, 42:15:39.96) = (90.82940, 42.26110)   BPZ = 1.429 [0.254--5.689]   type = 11.00 (SB11_A_0_l)   stellarity = 0.96   chisq2 = 287.10   ODDS = 0.08   z_cluster = 0.228