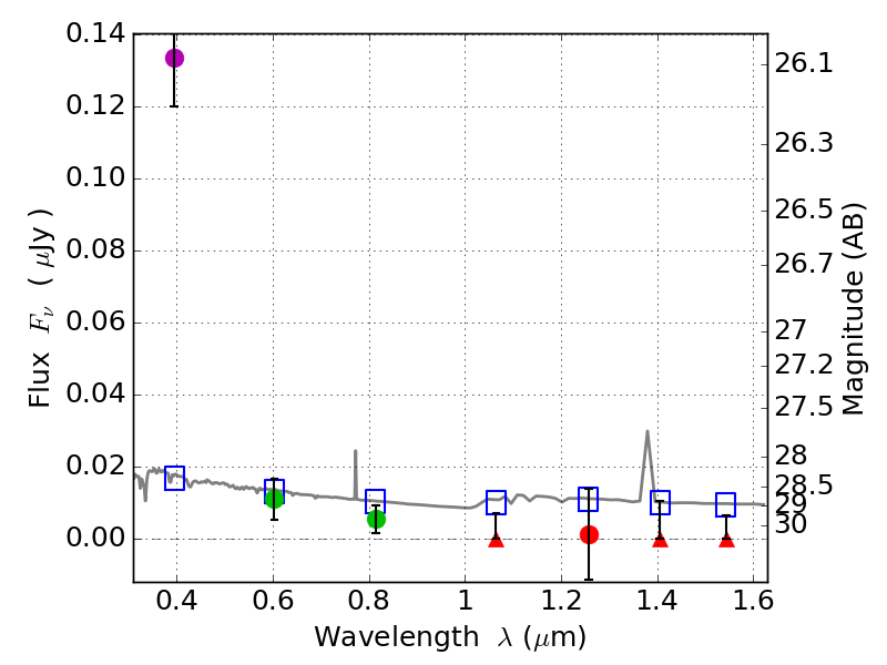
RXS0603+42-N IR detection object #3253

Color images and BPZ results
Catalog: 3253.cat
Black segments are analyzed here.   Roll mouse over color images to view segments.
Best viewed in a wide browser window (1200 pixels or more).   Download SED & P(z) plots to view larger versions.
In P(z) plots: Yellow lines mark the cluster redshift z = 0.228,  

Object #3253   x,y = (1716, 2417)   RA, Dec = (06:03:18.384, 42:15:42.84) = (90.82660, 42.26190)   BPZ = 1.763 [0.547--2.609]   type = 11.00 (SB11_A_0_l)   stellarity = 0.65   chisq2 = 19.66   ODDS = 0.28   z_cluster = 0.228