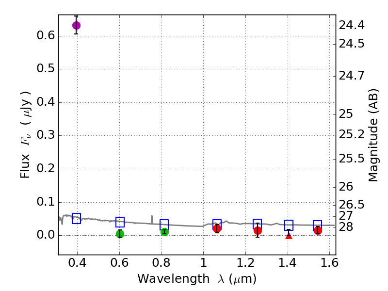
RXS0603+42-N IR detection object #3241

Color images and BPZ results
Catalog: 3241.cat
Black segments are analyzed here.   Roll mouse over color images to view segments.
Best viewed in a wide browser window (1200 pixels or more).   Download SED & P(z) plots to view larger versions.
In P(z) plots: Yellow lines mark the cluster redshift z = 0.228,  

Object #3241   x,y = (1761, 2523)   RA, Dec = (06:03:18.144, 42:15:48.96) = (90.82560, 42.26360)   BPZ = 1.702 [1.408--2.030]   type = 11.00 (SB11_A_0_l)   stellarity = 0.86   chisq2 = 118.00   ODDS = 0.63   z_cluster = 0.228