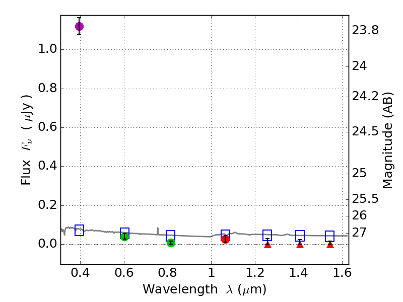
RXS0603+42-N IR detection object #3210

Color images and BPZ results
Catalog: 3210.cat
Black segments are analyzed here.   Roll mouse over color images to view segments.
Best viewed in a wide browser window (1200 pixels or more).   Download SED & P(z) plots to view larger versions.
In P(z) plots: Yellow lines mark the cluster redshift z = 0.228,  

Object #3210   x,y = (2131, 2435)   RA, Dec = (06:03:16.152, 42:15:43.92) = (90.81730, 42.26220)   BPZ = 1.701 [1.510--2.027]   type = 11.00 (SB11_A_0_l)   stellarity = 0.99   chisq2 = 156.10   ODDS = 0.67   z_cluster = 0.228