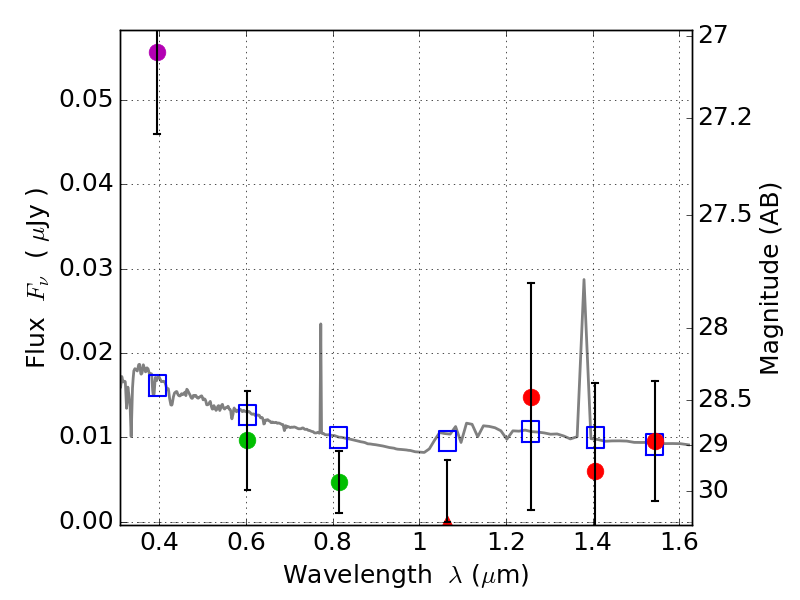
RXS0603+42-N IR detection object #2915

Color images and BPZ results
Catalog: 2915.cat
Black segments are analyzed here.   Roll mouse over color images to view segments.
Best viewed in a wide browser window (1200 pixels or more).   Download SED & P(z) plots to view larger versions.
In P(z) plots: Yellow lines mark the cluster redshift z = 0.228,  

Object #2915   x,y = (3603, 2561)   RA, Dec = (06:03:08.184, 42:15:51.48) = (90.78410, 42.26430)   BPZ = 1.761 [0.616--2.722]   type = 11.00 (SB11_A_0_l)   stellarity = 0.46   chisq2 = 5.09   ODDS = 0.21   z_cluster = 0.228