RXS0603+42-N IR detection object #2899

Color images and BPZ results
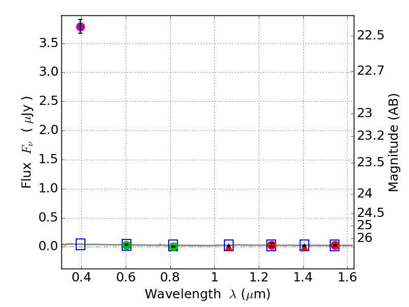
Catalog: 2899.cat
Black segments are analyzed here.   Roll mouse over color images to view segments.
Best viewed in a wide browser window (1200 pixels or more).   Download SED & P(z) plots to view larger versions.
In P(z) plots: Yellow lines mark the cluster redshift z = 0.228,  

Object #2899   x,y = (1698, 2556)   RA, Dec = (06:03:18.480, 42:15:51.12) = (90.82700, 42.26420)   BPZ = 1.699 [1.065--2.445]   type = 11.00 (SB11_A_0_l)   stellarity = 1.00   chisq2 = 265.40   ODDS = 0.29   z_cluster = 0.228