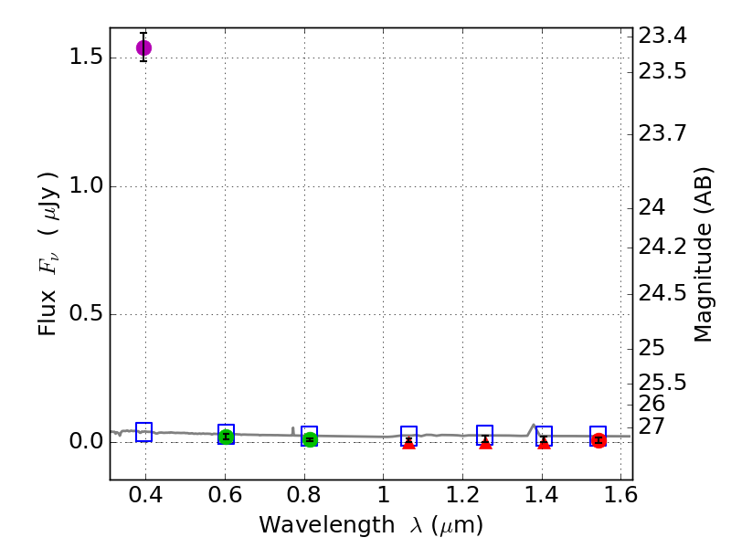
RXS0603+42-N IR detection object #2896

Color images and BPZ results
Catalog: 2896.cat
Black segments are analyzed here.   Roll mouse over color images to view segments.
Best viewed in a wide browser window (1200 pixels or more).   Download SED & P(z) plots to view larger versions.
In P(z) plots: Yellow lines mark the cluster redshift z = 0.228,  

Object #2896   x,y = (1695, 2561)   RA, Dec = (06:03:18.504, 42:15:51.48) = (90.82710, 42.26430)   BPZ = 1.764 [1.156--2.304]   type = 11.00 (SB11_A_0_l)   stellarity = 0.66   chisq2 = 194.60   ODDS = 0.41   z_cluster = 0.228