RXS0603+42-N IR detection object #2889

Color images and BPZ results
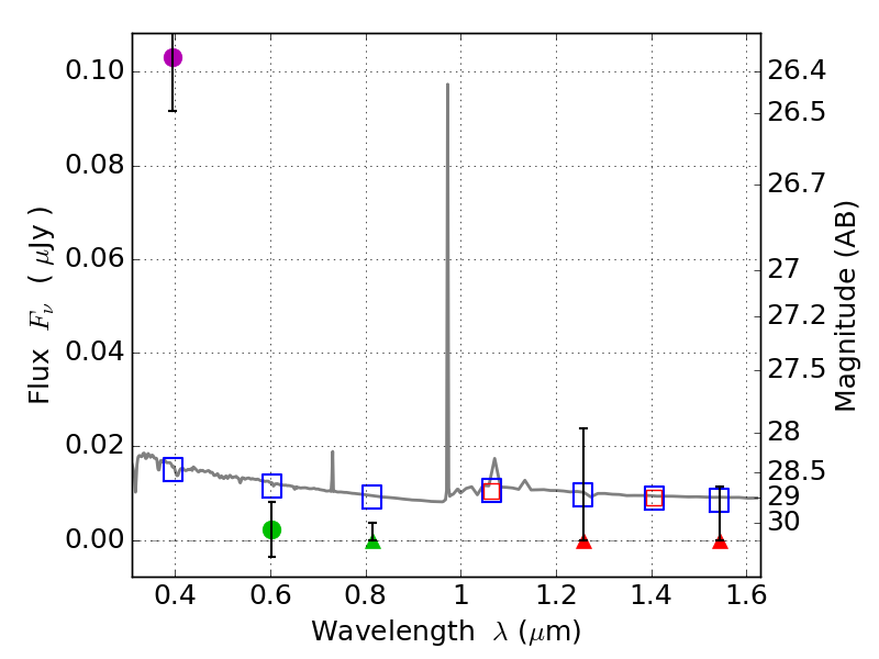
Catalog: 2889.cat
Black segments are analyzed here.   Roll mouse over color images to view segments.
Best viewed in a wide browser window (1200 pixels or more).   Download SED & P(z) plots to view larger versions.
In P(z) plots: Yellow lines mark the cluster redshift z = 0.228,  

Object #2889   x,y = (3838, 2572)   RA, Dec = (06:03:06.912, 42:15:52.20) = (90.77880, 42.26450)   BPZ = 1.610 [0.606--3.850]   type = 11.00 (SB11_A_0_l)   stellarity = 0.62   chisq2 = 32.92   ODDS = 0.21   z_cluster = 0.228