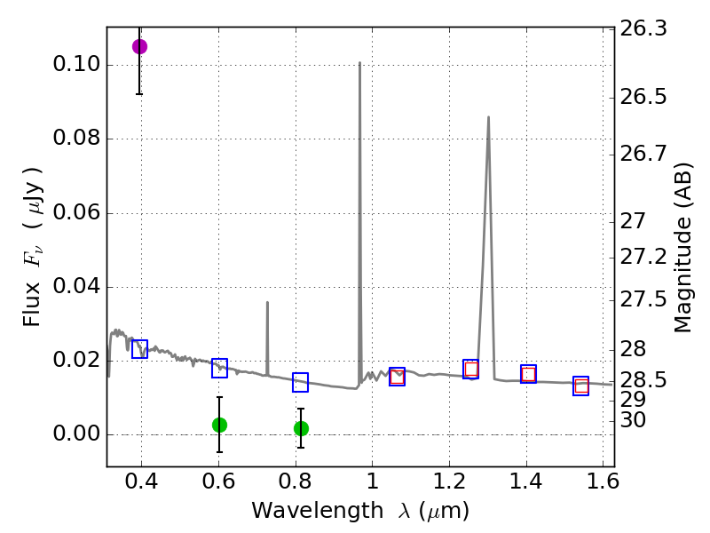
RXS0603+42-N IR detection object #2685

Color images and BPZ results
Catalog: 2685.cat
Black segments are analyzed here.   Roll mouse over color images to view segments.
Best viewed in a wide browser window (1200 pixels or more).   Download SED & P(z) plots to view larger versions.
In P(z) plots: Yellow lines mark the cluster redshift z = 0.228,  

Object #2685   x,y = (4245, 2650)   RA, Dec = (06:03:04.728, 42:15:56.52) = (90.76970, 42.26570)   BPZ = 1.596 [0.814--2.475]   type = 11.00 (SB11_A_0_l)   stellarity = 0.51   chisq2 = 46.95   ODDS = 0.22   z_cluster = 0.228