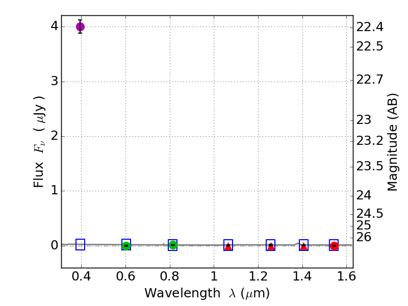
RXS0603+42-N IR detection object #2602

Color images and BPZ results
Catalog: 2602.cat
Black segments are analyzed here.   Roll mouse over color images to view segments.
Best viewed in a wide browser window (1200 pixels or more).   Download SED & P(z) plots to view larger versions.
In P(z) plots: Yellow lines mark the cluster redshift z = 0.228,  

Object #2602   x,y = (1804, 2747)   RA, Dec = (06:03:17.904, 42:16:02.64) = (90.82460, 42.26740)   BPZ = 1.763 [0.249--3.703]   type = 11.00 (SB11_A_0_l)   stellarity = 0.91   chisq2 = 271.90   ODDS = 0.15   z_cluster = 0.228