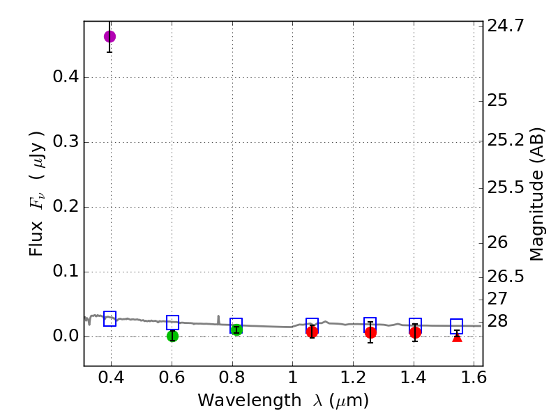
RXS0603+42-N IR detection object #2338

Color images and BPZ results
Catalog: 2338.cat
Black segments are analyzed here.   Roll mouse over color images to view segments.
Best viewed in a wide browser window (1200 pixels or more).   Download SED & P(z) plots to view larger versions.
In P(z) plots: Yellow lines mark the cluster redshift z = 0.228,  

Object #2338   x,y = (1791, 2776)   RA, Dec = (06:03:17.976, 42:16:04.08) = (90.82490, 42.26780)   BPZ = 1.700 [0.877--2.282]   type = 11.00 (SB11_A_0_l)   stellarity = 0.87   chisq2 = 78.11   ODDS = 0.40   z_cluster = 0.228