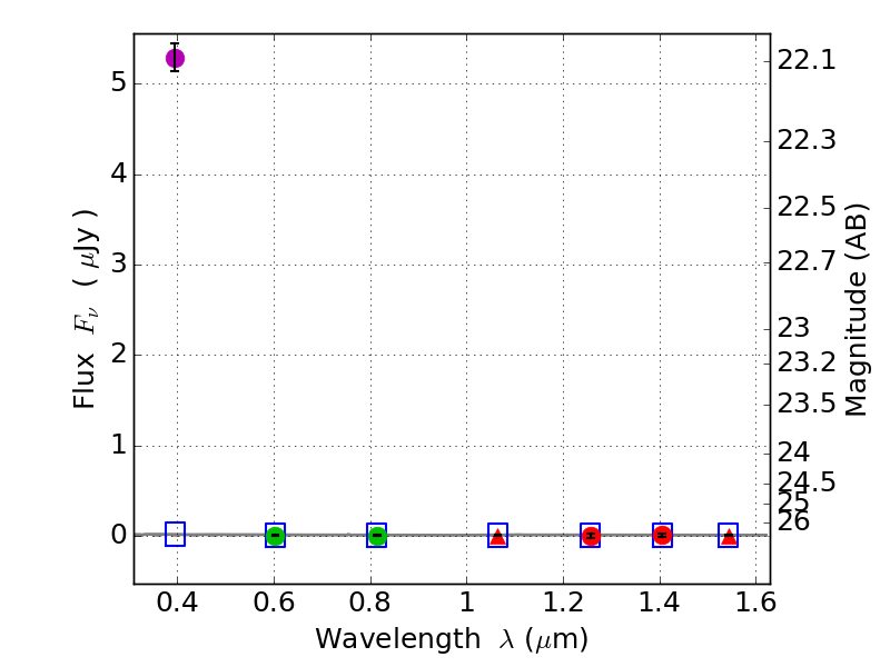
RXS0603+42-N IR detection object #2328

Color images and BPZ results
Catalog: 2328.cat
Black segments are analyzed here.   Roll mouse over color images to view segments.
Best viewed in a wide browser window (1200 pixels or more).   Download SED & P(z) plots to view larger versions.
In P(z) plots: Yellow lines mark the cluster redshift z = 0.228,  

Object #2328   x,y = (1839, 2764)   RA, Dec = (06:03:17.712, 42:16:03.72) = (90.82380, 42.26770)   BPZ = 1.696 [0.319--7.282]   type = 11.00 (SB11_A_0_l)   stellarity = 0.84   chisq2 = 285.90   ODDS = 0.10   z_cluster = 0.228