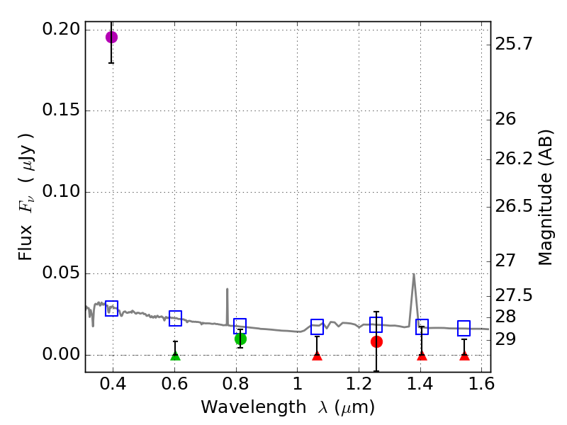
RXS0603+42-N IR detection object #2228

Color images and BPZ results
Catalog: 2228.cat
Black segments are analyzed here.   Roll mouse over color images to view segments.
Best viewed in a wide browser window (1200 pixels or more).   Download SED & P(z) plots to view larger versions.
In P(z) plots: Yellow lines mark the cluster redshift z = 0.228,  

Object #2228   x,y = (2623, 2806)   RA, Dec = (06:03:13.488, 42:16:05.88) = (90.80620, 42.26830)   BPZ = 1.763 [0.879--2.300]   type = 11.00 (SB11_A_0_l)   stellarity = 0.59   chisq2 = 30.25   ODDS = 0.39   z_cluster = 0.228