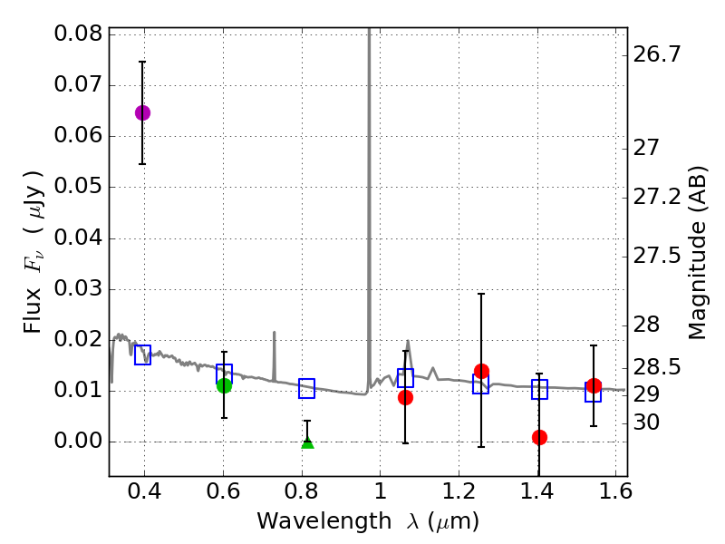
RXS0603+42-N IR detection object #2176

Color images and BPZ results
Catalog: 2176.cat
Black segments are analyzed here.   Roll mouse over color images to view segments.
Best viewed in a wide browser window (1200 pixels or more).   Download SED & P(z) plots to view larger versions.
In P(z) plots: Yellow lines mark the cluster redshift z = 0.228,  

Object #2176   x,y = (2831, 2832)   RA, Dec = (06:03:12.360, 42:16:07.68) = (90.80150, 42.26880)   BPZ = 1.612 [0.719--2.576]   type = 11.00 (SB11_A_0_l)   stellarity = 0.43   chisq2 = 7.25   ODDS = 0.23   z_cluster = 0.228