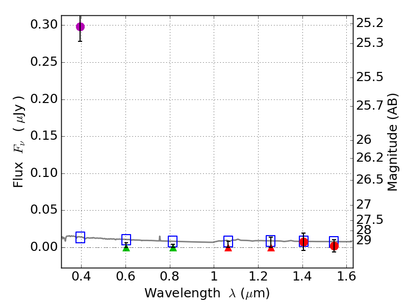
RXS0603+42-N IR detection object #1883

Color images and BPZ results
Catalog: 1883.cat
Black segments are analyzed here.   Roll mouse over color images to view segments.
Best viewed in a wide browser window (1200 pixels or more).   Download SED & P(z) plots to view larger versions.
In P(z) plots: Yellow lines mark the cluster redshift z = 0.228,  

Object #1883   x,y = (1933, 2934)   RA, Dec = (06:03:17.208, 42:16:13.80) = (90.82170, 42.27050)   BPZ = 1.698 [0.471--4.563]   type = 11.00 (SB11_A_0_l)   stellarity = 0.78   chisq2 = 52.89   ODDS = 0.19   z_cluster = 0.228