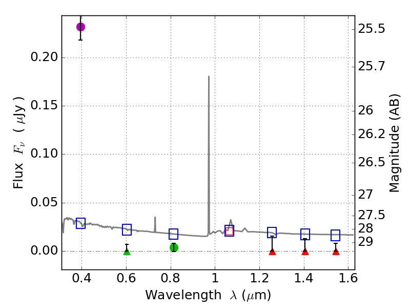
RXS0603+42-N IR detection object #1599

Color images and BPZ results
Catalog: 1599.cat
Black segments are analyzed here.   Roll mouse over color images to view segments.
Best viewed in a wide browser window (1200 pixels or more).   Download SED & P(z) plots to view larger versions.
In P(z) plots: Yellow lines mark the cluster redshift z = 0.228,  

Object #1599   x,y = (3326, 3044)   RA, Dec = (06:03:09.672, 42:16:20.28) = (90.79030, 42.27230)   BPZ = 1.612 [1.212--2.084]   type = 11.00 (SB11_A_0_l)   stellarity = 0.72   chisq2 = 79.35   ODDS = 0.46   z_cluster = 0.228