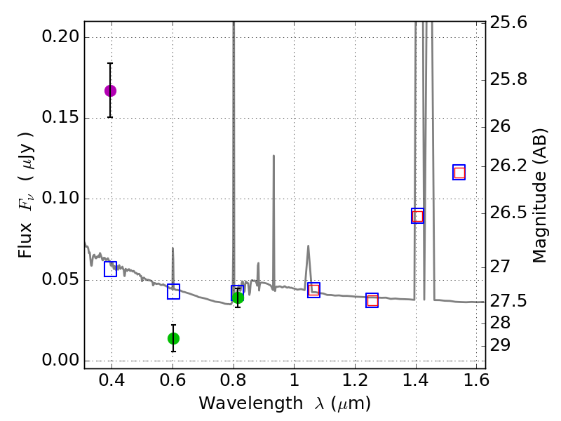
RXS0603+42-N IR detection object #1594

Color images and BPZ results
Catalog: 1594.cat
Black segments are analyzed here.   Roll mouse over color images to view segments.
Best viewed in a wide browser window (1200 pixels or more).   Download SED & P(z) plots to view larger versions.
In P(z) plots: Yellow lines mark the cluster redshift z = 0.228,  

Object #1594   x,y = (2042, 3047)   RA, Dec = (06:03:16.632, 42:16:20.64) = (90.81930, 42.27240)   BPZ = 1.151 [0.849--2.066]   type = 11.00 (SB11_A_0_l)   stellarity = 0.69   chisq2 = 42.62   ODDS = 0.19   z_cluster = 0.228