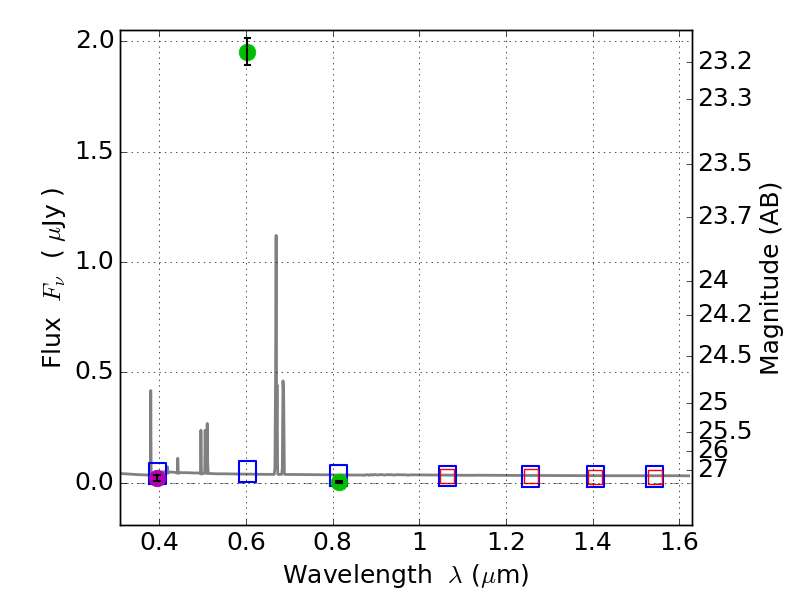
RXS0603+42-N IR detection object #1575

Color images and BPZ results
Catalog: 1575.cat
Black segments are analyzed here.   Roll mouse over color images to view segments.
Best viewed in a wide browser window (1200 pixels or more).   Download SED & P(z) plots to view larger versions.
In P(z) plots: Yellow lines mark the cluster redshift z = 0.228,  

Object #1575   x,y = (4033, 3055)   RA, Dec = (06:03:05.856, 42:16:21.00) = (90.77440, 42.27250)   BPZ = 0.025 [0.017--3.094]   type = 11.00 (SB11_A_0_l)   stellarity = 0.99   chisq2 = 996.70   ODDS = 0.15   z_cluster = 0.228