RXS0603+42-N IR detection object #1550

Color images and BPZ results
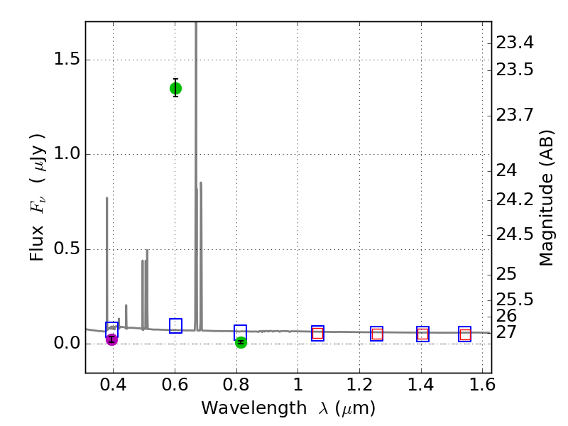
Catalog: 1550.cat
Black segments are analyzed here.   Roll mouse over color images to view segments.
Best viewed in a wide browser window (1200 pixels or more).   Download SED & P(z) plots to view larger versions.
In P(z) plots: Yellow lines mark the cluster redshift z = 0.228,  

Object #1550   x,y = (4043, 3066)   RA, Dec = (06:03:05.808, 42:16:21.72) = (90.77420, 42.27270)   BPZ = 0.022 [0.010--0.053]   type = 11.00 (SB11_A_0_l)   stellarity = 0.74   chisq2 = 773.80   ODDS = 0.98   z_cluster = 0.228