RXS0603+42-N IR detection object #1530

Color images and BPZ results
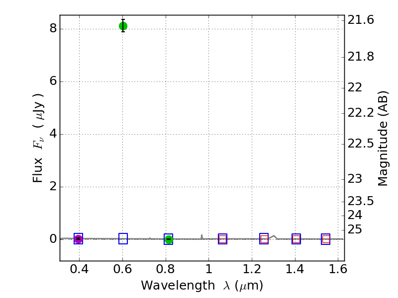
Catalog: 1530.cat
Black segments are analyzed here.   Roll mouse over color images to view segments.
Best viewed in a wide browser window (1200 pixels or more).   Download SED & P(z) plots to view larger versions.
In P(z) plots: Yellow lines mark the cluster redshift z = 0.228,  

Object #1530   x,y = (3963, 3075)   RA, Dec = (06:03:06.240, 42:16:22.08) = (90.77600, 42.27280)   BPZ = 1.596 [0.307--3.833]   type = 11.00 (SB11_A_0_l)   stellarity = 0.95   chisq2 = 1142.00   ODDS = 0.11   z_cluster = 0.228