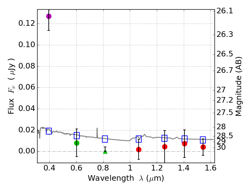
RXS0603+42-N IR detection object #1392

Color images and BPZ results
Catalog: 1392.cat
Black segments are analyzed here.   Roll mouse over color images to view segments.
Best viewed in a wide browser window (1200 pixels or more).   Download SED & P(z) plots to view larger versions.
In P(z) plots: Yellow lines mark the cluster redshift z = 0.228,  

Object #1392   x,y = (3701, 3213)   RA, Dec = (06:03:07.656, 42:16:30.36) = (90.78190, 42.27510)   BPZ = 1.699 [0.707--2.627]   type = 11.00 (SB11_A_0_l)   stellarity = 0.66   chisq2 = 18.13   ODDS = 0.29   z_cluster = 0.228