RXS0603+42-N IR detection object #1252

Color images and BPZ results
Catalog: 1252.cat
Black segments are analyzed here.   Roll mouse over color images to view segments.
Best viewed in a wide browser window (1200 pixels or more).   Download SED & P(z) plots to view larger versions.
In P(z) plots: Yellow lines mark the cluster redshift z = 0.228,  

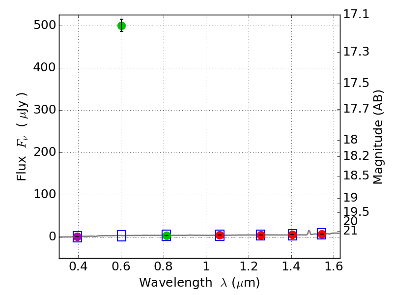
Object #1252   x,y = (2895, 3097)   RA, Dec = (06:03:12.024, 42:16:23.52) = (90.80010, 42.27320)   BPZ = 2.984 [0.550--3.048]   type = 9.00 (SB2_B10)   stellarity = 1.00   chisq2 = 284.10   ODDS = 0.78   z_cluster = 0.228