RXS0603+42-N IR detection object #1097

Color images and BPZ results
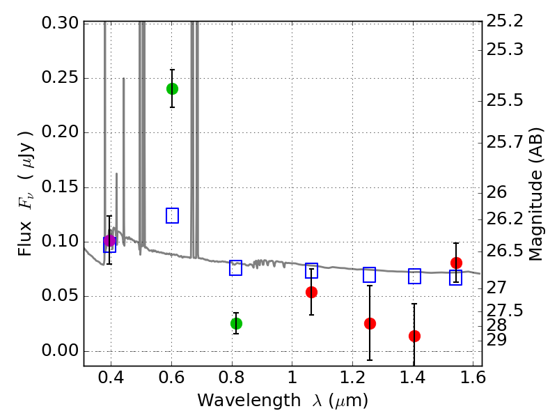
Catalog: 1097.cat
Black segments are analyzed here.   Roll mouse over color images to view segments.
Best viewed in a wide browser window (1200 pixels or more).   Download SED & P(z) plots to view larger versions.
In P(z) plots: Yellow lines mark the cluster redshift z = 0.228,  

Object #1097   x,y = (3383, 3244)   RA, Dec = (06:03:09.384, 42:16:32.16) = (90.78910, 42.27560)   BPZ = 0.021 [0.010--0.046]   type = 11.00 (SB11_A_0_l)   stellarity = 0.03   chisq2 = 14.89   ODDS = 1.00   z_cluster = 0.228