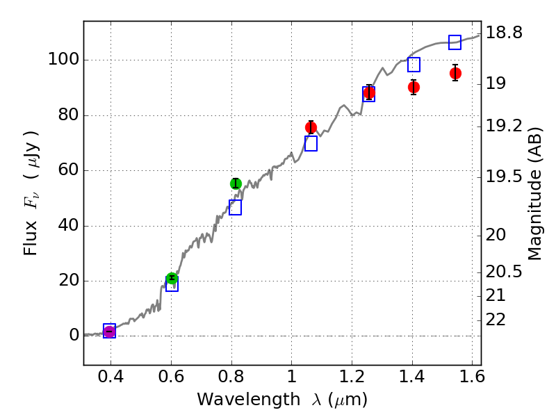
RXS0603+42-N ACS+IR detection object #8371

Color images and BPZ results
Catalog: 8371.cat
Black segments are analyzed here.   Roll mouse over color images to view segments.
Best viewed in a wide browser window (1200 pixels or more).   Download SED & P(z) plots to view larger versions.
In P(z) plots: Yellow lines mark the cluster redshift z = 0.228,  

Object #8371   x,y = (2310, 1044)   RA, Dec = (06:03:15.168, 42:14:20.40) = (90.81320, 42.23900)   BPZ = 0.425 [0.402--0.445]   type = 4.00 (Ell4_A_0)   stellarity = 0.98   chisq2 = 1.35   ODDS = 1.00   z_cluster = 0.228