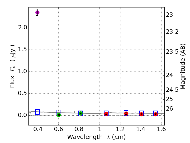
RXS0603+42-N ACS+IR detection object #6168

Color images and BPZ results
Catalog: 6168.cat
Black segments are analyzed here.   Roll mouse over color images to view segments.
Best viewed in a wide browser window (1200 pixels or more).   Download SED & P(z) plots to view larger versions.
In P(z) plots: Yellow lines mark the cluster redshift z = 0.228,  

Object #6168   x,y = (3177, 2007)   RA, Dec = (06:03:10.488, 42:15:18.00) = (90.79370, 42.25500)   BPZ = 1.701 [0.831--2.060]   type = 11.00 (SB11_A_0_l)   stellarity = 1.00   chisq2 = 235.30   ODDS = 0.44   z_cluster = 0.228