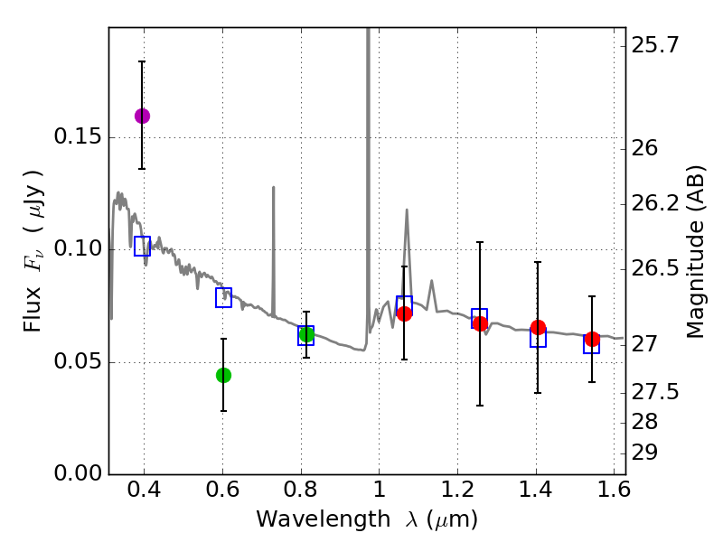
RXS0603+42-N ACS+IR detection object #5758

Color images and BPZ results
Catalog: 5758.cat
Black segments are analyzed here.   Roll mouse over color images to view segments.
Best viewed in a wide browser window (1200 pixels or more).   Download SED & P(z) plots to view larger versions.
In P(z) plots: Yellow lines mark the cluster redshift z = 0.228,  

Object #5758   x,y = (2464, 1996)   RA, Dec = (06:03:14.352, 42:15:17.28) = (90.80980, 42.25480)   BPZ = 1.613 [0.753--2.252]   type = 11.00 (SB11_A_0_l)   stellarity = 0.08   chisq2 = 2.36   ODDS = 0.27   z_cluster = 0.228