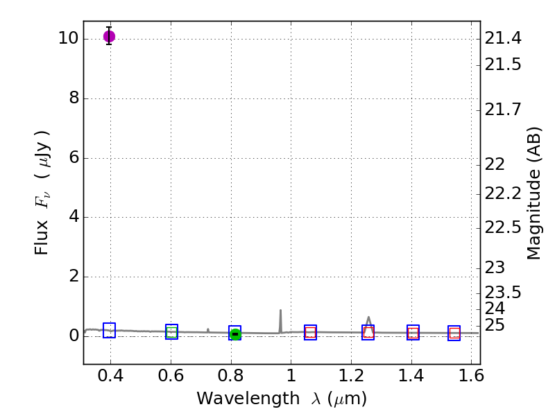
RXS0603+42-N ACS+IR detection object #5170

Color images and BPZ results
Catalog: 5170.cat
Black segments are analyzed here.   Roll mouse over color images to view segments.
Best viewed in a wide browser window (1200 pixels or more).   Download SED & P(z) plots to view larger versions.
In P(z) plots: Yellow lines mark the cluster redshift z = 0.228,  

Object #5170   x,y = (4625, 2195)   RA, Dec = (06:03:02.664, 42:15:29.52) = (90.76110, 42.25820)   BPZ = 1.594 [1.271--2.117]   type = 11.00 (SB11_A_0_l)   stellarity = 1.00   chisq2 = 1105.00   ODDS = 0.39   z_cluster = 0.228