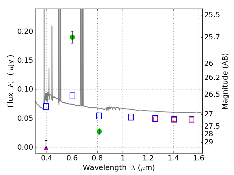
RXS0603+42-N ACS+IR detection object #5064

Color images and BPZ results
Catalog: 5064.cat
Black segments are analyzed here.   Roll mouse over color images to view segments.
Best viewed in a wide browser window (1200 pixels or more).   Download SED & P(z) plots to view larger versions.
In P(z) plots: Yellow lines mark the cluster redshift z = 0.228,  

Object #5064   x,y = (4020, 2247)   RA, Dec = (06:03:05.928, 42:15:32.40) = (90.77470, 42.25900)   BPZ = 0.020 [0.010--0.046]   type = 11.00 (SB11_A_0_l)   stellarity = 0.67   chisq2 = 111.80   ODDS = 1.00   z_cluster = 0.228