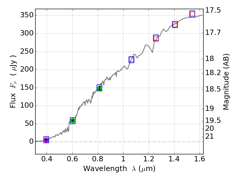
RXS0603+42-N ACS+IR detection object #4204

Color images and BPZ results
Catalog: 4204.cat
Black segments are analyzed here.   Roll mouse over color images to view segments.
Best viewed in a wide browser window (1200 pixels or more).   Download SED & P(z) plots to view larger versions.
In P(z) plots: Yellow lines mark the cluster redshift z = 0.228,  

Object #4204   x,y = (4004, 2517)   RA, Dec = (06:03:06.024, 42:15:48.60) = (90.77510, 42.26350)   BPZ = 0.441 [0.348--0.468]   type = 3.60 (Ell4_A_0 - Ell5_A_0)   stellarity = 1.00   chisq2 = 0.00   ODDS = 0.78   z_cluster = 0.228