RXS0603+42-N ACS+IR detection object #3623

Color images and BPZ results
Catalog: 3623.cat
Black segments are analyzed here.   Roll mouse over color images to view segments.
Best viewed in a wide browser window (1200 pixels or more).   Download SED & P(z) plots to view larger versions.
In P(z) plots: Yellow lines mark the cluster redshift z = 0.228,  

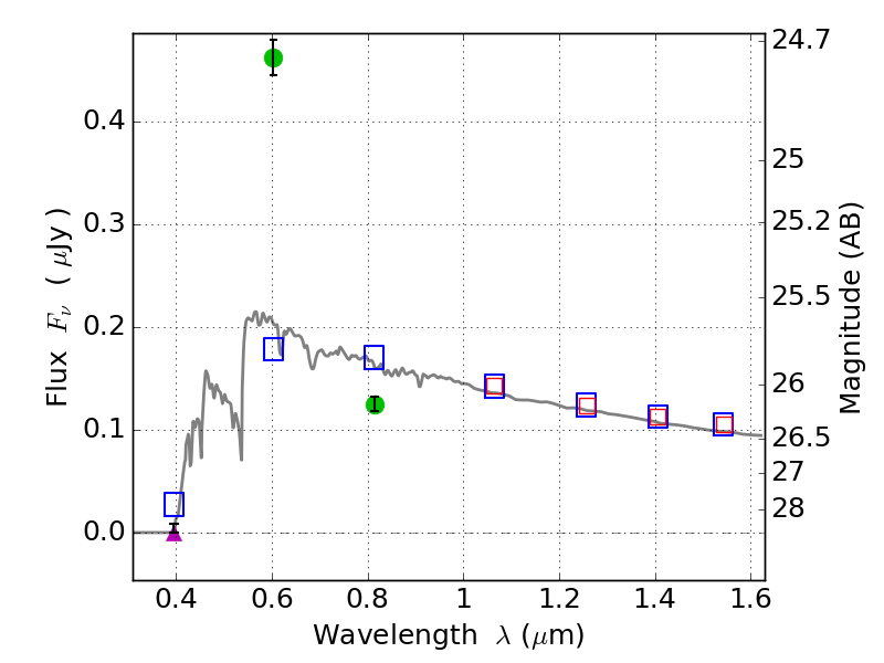
Object #3623   x,y = (4237, 2893)   RA, Dec = (06:03:04.752, 42:16:11.28) = (90.76980, 42.26980)   BPZ = 3.420 [3.297--3.540]   type = 11.00 (SB11_A_0_l)   stellarity = 0.76   chisq2 = 199.70   ODDS = 1.00   z_cluster = 0.228