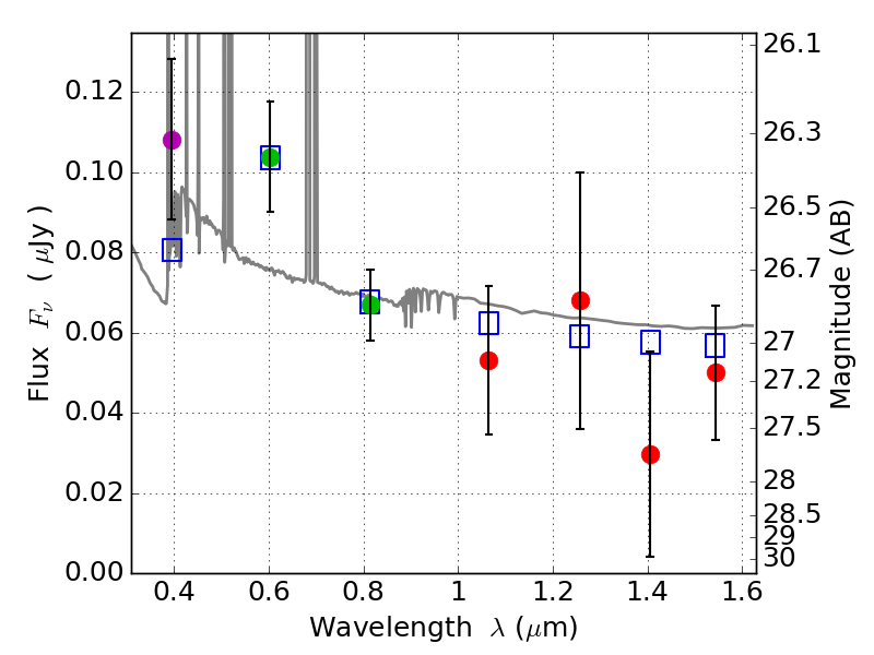
RXS0603+42-N ACS+IR detection object #3152

Color images and BPZ results
Catalog: 3152.cat
Black segments are analyzed here.   Roll mouse over color images to view segments.
Best viewed in a wide browser window (1200 pixels or more).   Download SED & P(z) plots to view larger versions.
In P(z) plots: Yellow lines mark the cluster redshift z = 0.228,  

Object #3152   x,y = (3241, 2887)   RA, Dec = (06:03:10.152, 42:16:10.92) = (90.79230, 42.26970)   BPZ = 0.040 [0.034--2.740]   type = 11.00 (SB11_A_0_l)   stellarity = 0.21   chisq2 = 0.81   ODDS = 0.06   z_cluster = 0.228