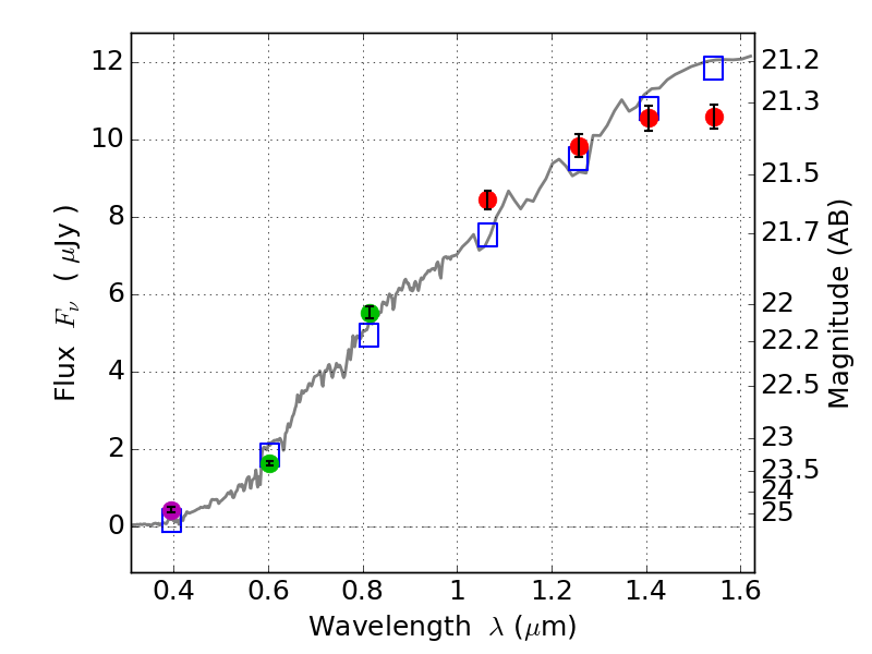
RXS0603+42-N ACS+IR detection object #3148

Color images and BPZ results
Catalog: 3148.cat
Black segments are analyzed here.   Roll mouse over color images to view segments.
Best viewed in a wide browser window (1200 pixels or more).   Download SED & P(z) plots to view larger versions.
In P(z) plots: Yellow lines mark the cluster redshift z = 0.228,  

Object #3148   x,y = (2050, 2822)   RA, Dec = (06:03:16.584, 42:16:06.96) = (90.81910, 42.26860)   BPZ = 0.474 [0.340--0.769]   type = 4.00 (Ell4_A_0)   stellarity = 0.77   chisq2 = 1.09   ODDS = 0.84   z_cluster = 0.228